Palazzo Mosti, presentati i 17 progetti finanziati nell'ambito del Piano Periferie In primo piano
![]()
'Con la realizzazione delle opere di riqualificazione e rigenerazione urbana contenute nel Piano Periferie puntiamo a mitigare e ridurre le disparità sociali e i fenomeni di devianza sociale da contesti urbani degradati presenti nella città di Benevento'.
Ad affermarlo è stato stasera il sindaco Clemente Mastella nel corso della conferenza stampa di presentazione delle opere finanziate dal Governo nell’ambito del Piano Periferie con uno stanziamento di 18 milioni di euro, a cui vanno aggiunti i circa 9 milioni che saranno investiti da soggetti privati.
'Colgo l'occasione per ringraziare il presidente del Consiglio, mentre non ringrazio chi invece all'interno del Governo ha lavorato per non farci avere i fondi' ha poi proseguito il sindaco Mastella il quale ha anche chiarito che 'non saranno ripetuti gli errori del recente passato, allorquando si sono realizzate opere senza sapere come gestirle'.
L'assessore all'Urbanistica, Antonio Reale, ha invece spiegato il motivo per cui la città di Benevento si è classificata nelle ultime posizioni della graduatoria: 'Tale risultato è unicamente addebitabile alla precedente amministrazione in quanto, a causa del dissesto finanziario da loro provocato, non abbiamo potuto investire nemmeno un euro di fondi comunali e ciò ha determinato il risultato negativo in termini di posizionamento. Tra l'altro, il Bando Periferie era già aperto quando loro amministravano ma hanno preferito ignorarlo, mentre noi in poco più di un mese abbiamo messo in campo tutte le energie possibili per parteciparvi ed ottenere questo finanziamento'.
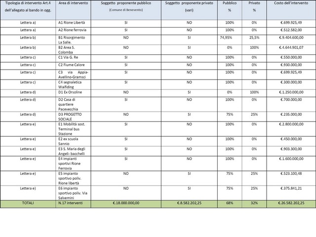
Di seguito i 17 interventi che saranno realizzati.
A) PROGETTI DI MIGLIORAMENTO DELLA QUALITA' DEL DECORO URBANO
A1. Quartiere Libertà. Sistemazione percorsi pedonali, aree a verde-arredo urbano lungo fiume Matarazzo, via Vitelli e zone limitrofe.
Il progetto prevede la riqualificazione dei percorsi pedonali esistenti attraverso il rifacimento delle pavimentazioni degradate, la riqualificazione delle aiuole con la messa in opera di alberature di alto fusto ed impianto di irrigazione, arredo urbano. Sul lungo fiume Matarazzo una parte dell'attuale marciapiede sarà destinata a pista ciclabile. In via Vitelli i percorsi pedonali saranno riqualificati e caratterizzati dalla messa a dimora di alberature di alto fusto integrati con spazi sosta veicolari.
A2. Quartiere Ferrovia. Sistemazione percorsi pedonali, aree a verde-arredo urbano area ovest insediamenti edilizia pubblica abitativa, ridefinizione dei percorsi pedonali e veicolari di Piazza Colonna.
Il progetto prevede la riqualificazione dei percorsi pedonali esistenti più degradati attraverso il rifacimento delle pavimentazioni, la riqualificazione delle aiuole con innalzamento degli elementi perimetrali tali assolvere alla funzione di sedute, la messa in opera di alberature di alto fusto ed impianto di irrigazione, arredo urbano. Gli attuali percorsi pedonali e veicolari di Piazza colonna saranno parzialmente ridefiniti a vantaggio della sicurezza della circolazione.
B) MANUTENZIONE, RIUSO E RIFUNZIONALIZZAZIONE DI AREE PUBBLICHE E DI STRUTTURE EDILIZIE ESISTENTI PER FINALITA' DI INTERESSE PUBBLICO
B1. Piazza Risorgimento - Area ex collegio La Salle
Il privato quale soggetto proponente, ha previsto la rifunzionalizzazione delle aree di piazza Risorgimento e dell'area dell'ex collegio La Salle. L'Amministrazione Comunale in carica ha accolto favorevolmente tale proposta progettuale in quanto permette di: riqualificare la attuale piazza Risorgimento, attualmente adibita a parcheggio, ad una importante funzione urbana quale quella di piazza pedonalizzata valorizzando gli edifici razionalisti di pregio presenti all'intorno; riqualificare l'area dell'ex collegio la Salle prevedendo un parcheggio con capienza doppia rispetto a quello attualmente presente alla piazza attigua, un numero limitato di volumi in parte destinato a residenza e in parte destinato a servizi destinati al pubblico. La realizzazione del parcheggio come proposto è funzionale alla avvenuta pedonalizzazione del Corso Garibaldi principale asse commerciale dell'attiguo Centro Storico. Tale progetto inoltre risulta anche coerente con lo studio di fattibilità elaborato dal Comune che prevede lo spostamento del terminal bus extraurbani, (attualmente localizzato nell'area e non dotato degli elementari servizi ai passeggeri), nei pressi della stazione ferroviaria. La contemporanea riqualificazione delle due aree permetterà una vera e propria rigenerazione urbana degli attuali 'non luoghi' o vuoti urbani, determinando una rivitalizzazione economica e sociale del contesto urbano in considerazione dei fenomeni di emarginazione sociale e di devianza riguardanti soprattutto le giovani generazioni abituali fruitori del luogo.
B2. Centro polifunzionale Area Santa Colomba
Il privato quale soggetto proponente ha previsto la rifunzionalizzazione delle area di Santa Colomba in origine adibita a prefabbricati del terremoto del 1980 ed oggi saltuariamente occupata dai nomadi. Il progetto prevede la costruzione di un centro polivalente adibito ad attività di socializzazione e di svago compreso una piscina coperta/scoperta. L'Amministrazione ha accolto favorevolmente tale proposta di riqualificazione e di rifunzionalizzazione dell’area in quanto in grado di assolvere alla esigenza di servizi, attualmente non soddisfatta, del quartiere Libertà caratterizzato essenzialmente da residenze di edilizia economica e popolare.
C) PROGETTI RIVOLTI ALL'ACCRESCIMENTO DELLA SICUREZZA TERRITORIALE E DELLA CAPACITA' DI RESILIENZA URBANA
C1. Messa in sicurezza degli argini e dello svincolo di Via Grimoaldo Re
C2. Arginatura e bonifica idraulica del tratto urbano del fiume Calore
Le alterazioni climatiche con intensi ed improvvisi nubifragi sono la causa dell'evento alluvionale verificatosi tra il 14 ed il 15 ottobre 2015 e che ha determinato lo straripamento del fiume Calore con conseguente allagamento di parte del Rione Ferrovia e dell'area di Pantano. Nell'ambito della resilienza urbana risulta necessario predisporre azioni di difesa in modo da scongiurare il ripetersi delle conseguenze di tali fenomeni che costituiscono un serio pericolo per gli abitanti e le attività economiche presenti nelle aree in questione. Il primo progetto prevede la costruzione di appositi argini a difesa e la ricostruzione dello svincolo danneggiato dall'inondazione. Il secondo progetto interviene sull'intero alveo del fiume Calore prevedendo: la rimozione dei detriti derivanti dall'alluvione e conseguente abbassamento del letto del fiume; la sistemazione e conformazione delle sponde liberandole dalle alberature e materiali di riporto presenti in modo da favorire il maggior deflusso delle acque ed evitare ostruzioni; la costruzione di argini nei tratti mancanti dove si sono verificati gli straripamenti; la sistemazione con opere di ingegneria naturalistica delle sponde più alte.
C3. Protezione dei percorsi pedonali lungo la via Appia (Rione Epitaffio e Rione S.Vito), via Avellino, Via Gramsci
Si tratta di rioni ai margini del centro abitato caratterizzati da edilizia sviluppatasi in modo disordinato lungo la direttrice di traffico: attualmente in molti tratti di dette strade urbane non sono presenti marciapiedi con notevole pericolo dei pedoni nella fase di transito e di attraversamento della carreggiata. Tale situazione di oggettivo pericolo ha determinato numerosi investimenti con la perdita di vite umane. Il progetto prevede la costruzione dei tratti di marciapiede non presenti, la sistemazione di quelli esistenti aumentandone la larghezza e preservando le alberature presenti, il rifacimento della pubblica illuminazione. Nei tratti di strada dove sono ubicati gli attraversamenti stradali e le fermate degli autobus il progetto prevede opere di protezione dei pedoni tale da determinare il restringimento delle corsie ed obbligare così il rallentamento dei veicoli.
C4. Segnaletica aumentata, app di sicurezza: waifiding
Il waifiding è un sistema multimediale che sfruttando il wifi ed i software della realtà aumentata permettono di fornire informazioni anche complesse in modo semplice, intuitivo e veloce grazie alla interconnessione con cellulari e tablet, ampiamente diffusi a causa del basso costo. Il progetto prevede la fornitura di totem informativi dotati di schermo touch screen da allocarsi lungo i percorsi principali e la implementazione di una 'app' dedicata in grado di fornire informazioni di carattere generale. Il sistema è destinato anche a migliorare la fruizione turistica: sarà semplice ed immediato orientarsi e ricevere informazioni complesse lungo i percorsi principali. Grazie alla copertura wifi il sistema rappresenta un naturale dispositivo di sicurezza urbana: è in grado di localizzare e predisporre il tipo di soccorso più opportuno in caso di necessità.
D) PROGETTI PER IL POTENZIAMENTO DELLE PRESTAZIONI E DEI SERVIZI DI SCALA URBANA TRA I QUALI LO SVILUPPO DI PRATICHE DEL TERZO SETTORE E DEL SERVIZIO CIVILE, PER L'INCLUSIONE SOCIALE E LA REALIZZAZIONE DI NUOVI MODELLI DI WELLFARE METROPOLITANO E URBANO
D1. Riqualificazione e recupero per finalità sociali dell'immobile ex Orsoline da destinare ad ostello della gioventù ed attività culturali
L'immobile di notevoli dimensioni è di proprietà comunale ed è situato all'interno del Centro storico. L'amministrazione comunale ha accolto con favore il progetto del proponente privato in relazione alla destinazione di progetto che si pone lobiettivo di offrire la ricettività turistica a basso costo. Infatti la soddisfazione di tale servizio è ancora più indispensabile in relazione ai flussi del turismo religioso, caratterizzati da basso costo, derivanti dalla vicina Pietrelcina e dalla devozione ai luoghi natali di San Pio, che oggi la città non è in grado di intercettare. La ricettività turistica a basso costo e l'offerta di locali destinati ad attività culturali permetterà di realizzare la sinergia con attività del terzo settore e del servizio civile rivolti prevalentemente alle giovani generazioni.
D2. Recupero di un immobile di proprietà comunale da adibire a 'Casa di quartiere' al servizio del quartiere Pacevecchia
La struttura situata in via Clino Ricci, è stata costruita a fine anni '80 e destinata dal Comune a mercato rionale. Lo stabile, che sorge nel cuore del quartiere, è ormai in un forte stato di degrado e abbandono. Il progetto prevede il recupero dell'immobile, il rifacimento degli impianti con una nuova distribuzione interna in modo da destinare ,di concerto con l'attivo Comitato di Quartiere, la struttura a 'Casa di quartiere', in cui possano svolgersi attività e iniziative non sono solo per i cittadini, ma anche con i cittadini: spazi comuni, laboratori sociali e culturali, orti sociali nelle aree esterne di pertinenza, in cui sia possibile avviare attività di partecipazione e coinvolgimento e auto-organizzazione.
D3. Progetto Sociale
Il progetto consiste nella messa a punto di un inedito ed evoluto modello di welfare urbano attraverso la sperimentazione di un 'servizio di prossimità' da realizzare nel quartiere Pace Vecchia e da replicare, poi, nelle varie zone e contrade della città di Benevento in stretta collaborazione con i cittadini, gli operatori sociali e l'amministrazione comunale. Obiettivo principale del progetto è quello di migliorare la qualità della vita della popolazione beneventana ed incrementarne il grado di resilienza, attraverso: la rigenerazione di spazi urbani outdoor ed indoor, sottoutilizzati e/o abbandonati, e trasformarli in luoghi di 'senso' dove produrre valore; l'implementazione di un microsistema di 'economia della condivisione' che attraverso delle buone prassi ponga l'accento sulle relazioni e sul territorio; sostegno assistenziale alle fasce deboli.
E) PROGETTI PER LA MOBILITA' SOSTENIBILE E L'ADEGUAMENTO DELLE INFRASTRUTTURE DESTINATE AI SERVIZI SOCIALI E CULTURALI, EDUCATIVI E DIDATTICI NONCHE' ALLE ATTIVITA' CULTURALI ED EDUCATIVE PROMOSSE DA SOGGETTI PUBBLICI E PRIVATI
E1. Mobilità sostenibile: Terminal bus extraurbani - Stazione Centrale con parcheggio autovetture lunga sosta
Si tratta di un opera strategica fortemente voluta dall'Amministrazione Comunale in carica e persegue l'obiettivo di ridurre drasticamente il traffico veicolare extraurbano all'interno della città. Tale realizzazione persegue lo scopo di realizzare la interconnessione ed intermodalità del traffico su ferro e su gomma anche in relazione alla prossima realizzazione della infrastruttura ferroviaria dell'alta capacità NA-BA in grado di far riassumere alla Stazione ferroviaria Centrale un ruolo strategico nella rete nazionale dei trasporti su ferro. Il progetto prevede la realizzazione del terminal con soprastante parcheggio autovetture lunga sosta su di un area di risulta e non utilizzata attigua alla Stazione Centrale e di proprietà della regione Campania: sono in corso di definizione le procedure di acquisizione mediante cessione bonaria e relativa valutazione concordata del valore economico dell'area oggetto di intervento.
E2. Adeguamento degli immobili ex scuola Sannio sede di associazioni culturali e del volontariato sociale
Gli immobili all'attualità sono in stato fatiscente e sono utilizzati con notevole disagio per attività culturali e sociali rivolte alla popolazione del quartiere caratterizzato da fenomeni di marginalità e disagio sociale. Il progetto ne prevede il recupero e l'adeguamento ed il rifacimento degli impianti. Gli spazi circostanti, in stato di abbandono, saranno destinati ad orti sociali e gestiti dagli abitanti del quartiere per finalità di coesione sociale ed integrazione.
E3. Riqualificazione delle aree e spazi collettivi del Lungo Sabato Bacchelli
Dal profilo sociale, l'area è caratterizzata da un insediamento di edilizia economica e popolare degli anni '90; accoglie un'utenza di una fascia d'età compresa tra i 30 e i 70 anni, giovani coppie e pensionati ed è carente di strutture sociali, sportive e di svago.Il progetto prevede la sistemazione dell'area a verde, con la creazione di strutture sportive ed il potenziamento, con lieve ampliamento, di un'arena realizzata come opera di urbanizzazione secondaria ed in totale stato di degrado che ne inficia la fruibilità. In sintesi l'intervento prevede la realizzazione di: campo calcetto-tennis, campo di bocce per anziani, area giochi bambini, area orto didattico, ristrutturazione dell'arena esistente con ampliamento per creazione di servizi igienici e deposito, parcheggio auto e bici permeabile e ripristino pista ciclabile e connessione al ponte ciclopedonale in fase di realizzazione, percorsi coperti attrezzati.
E4. Riqualificazione degli impianti sportivi del rione ferrovia: scuola rugby e scuola pallacanestro Pala-Parente
Il progetto prevede la riqualificazione d il recupero dei campi e degli impianti tecnologici danneggiati dagli eventi alluvionali dell'ottobre 2015. Tali strutture uniche per l'intero quartiere, sono attualmente utilizzate con disagio e permettono le attività di socializzazione ed integrazione sociale necessarie in un contesto caratterizzato dalla presenza di un alto numero di abitanti e di fenomeni di marginalità e devianza sociale.
E5. Riqualificazione dell'impianto sportivo e polivalente Rione Libertà
Il centro polivalente svolge da anni, con le iniziative poste in essere, attività di coesione sociale e rappresenta per l'intero quartiere un sicuro punto di riferimento. Il progetto prevede la riqualificazione ed il potenziamento delle strutture esistenti, dei percorsi e delle aree a verde; in particolare prevede l'adeguamento degli impianti alle normative vigenti nonché opere necessarie all'utilizzo degli impianti da parte di soggetti disabili.
E6. Riqualificazione dell'impianto sportivo e polivalente Via Salvemini Rione Mellusi
Il centro polivalente svolge da anni, con le iniziative poste in essere, attività di coesione sociale e rappresenta per l'intero quartiere un sicuro punto di riferimento. Lo stato attuale del complesso sportivo presenta una serie di deficienze che ne limitano l'uso continuativo. Occorre: il rifacimento delle pavimentazioni dei campi e dei percorsi pedonali con riduzione delle barriere architettoniche, la canalizzazione delle acque meteoriche - intervenire con opere di contenimento per garantire la stabilità dei terrapieni contigui al muro di confine - la copertura dei percorsi di collegamento tra la club house ed i campi coperti, una nuova serie di tribune perimetrali rispetto ai campi di gara esistenti, l'adeguamento degli attuali spogliatoi alle norme vigenti, un miglioramento degli impianti termici e di illuminazione esistenti per garantire il risparmio energetico, una palestra coperta per il riscaldamento ed il potenziamento muscolare degli atleti, adeguare gli spazi della club house per permettere attività di socializzazione ed integrazione sociale aperte all'intero quartiere.

19/12/2017